김성민
(Sung-Min Kim*)
1iD
정태욱
(Tae-Uk Jung†)
†iD
-
(M.S. course, Department of Mechatronics Engineering, Kyungnam University, Korea)
Copyright © 2025 KIIEE All right's reserved
Key words
Actuator, Asymmetric air-gap, BLDC motor, Coil bobbin insertion structure, Efficiency
1. 서 론
1.1. 연구의 필요성
현재 자동차 산업에서는 내연기관에서 전동화 체제로 전환됨에 따라 전동기의 다양한 개발이 진행되고 있다[1]. 이러한 개발 흐름 속에서 전동기의 소형화 및 고토크화의 요구를 만족시키기 위해 영구자석을 이용한 전동기의 사용이 증가하고 있으며, 일반적인 영구자석형
전동기는 자속 확보 및 코깅토크 저감을 위해 고정자 치에 슈(Pole Shoe)가 적용되어 있는 구조를 가진다. 그러나 소형 전동기의 경우 슬롯 개구
폭이 좁아 정밀 권선기 또는 수동 권선기의 사용이 필요하게 되며, 이로 인해 제작 시간 지연 및 제작 비용이 증가하는 문제가 발생한다.
이러한 문제를 해결하기 위해 고정자 치에 슈를 제거하고 코일 보빈을 치에 삽입하는 구조를 제안한다. 이는 외부에서 감은 코일 보빈을 삽입할 수 있기
때문에 권선 제작 공정성을 향상할 수 있다. 또한 특정 상에 결함이 발생할 경우, 코일 보빈을 교체할 수 있어 유지 보수가 쉽고 전동기 시스템의 수명이
늘어날 수 있다. 하지만 슈의 제거로 인해 자속 확보가 어려워 전동기의 효율이 감소하는 문제가 발생한다. 효율은 전동기의 성능과 관계가 있으므로 반드시
고려해야 하는 사항 중 하나이다. 따라서 본 논문에서는 코일 보빈 삽입형 BLDC 전동기의 효율을 증대하는 설계를 수행하였다. 설계 변수로는 고정자
치 끝단 구조, 고정자 비대칭 공극 구조를 선정하였으며, 유한요소해석을 수행하여 이들의 변화에 따른 특성을 분석하였다. 그리고 반응표면분석법을 사용하여
이들 관계의 최적점을 찾아 최적화 모델을 도출하고 기본 모델과의 비교를 통해 최적화 모델의 타당성을 검증하였다.
2. 코일 보빈 삽입형 BLDC 전동기 설계
2.1. 코깅토크 저감을 위한 극/슬롯 조합 선정
영구자석형 전동기의 코깅토크는 고정자 슬롯과 회전자 영구자석의 상호작용에 의해 발생하는 힘이며, 이는 회전자 위치에 따라 자속 경로가 자기저항이 최소가
되어 안정적인 상태로 가려는 힘이다.
이러한 코깅토크는 식 (1)과 같이 정의할 수 있으며, 이때 $D$는 회전자 외경, $L_{stk}$는 적층길이, $n=k S$로 $k=1,\: 2\cdots$, $S$는 극
수와 슬롯 수의 최소공배수, $\Lambda_{n}$는 공극 퍼미언스의 n차 고조파, $f_{n}$는 자석에 의한 자속 분포의 n차 고조파, $\zeta$는
회전자의 회전 각도이다.
식 (1)을 통해 코깅토크는 극 수와 슬롯 수에 관계가 있으며, 이들 관계에 따라 코깅토크의 주기수를 식 (2)와 같이 나타낼 수 있다.
여기서, $LCM$은 최소공배수, $N_{s}$는 슬롯 수, $N_{m}$은 영구자석의 극 수이다. $LCM(N_{s},\: N_{m})$은 코깅
주파수와 비례하기 때문에 최소공배수가 큰 값을 선정한다면 코깅토크 저감에 유리하다[2].
2.2. 고정자 권선계수
권선 설계는 전동기의 기자력 및 역기전력과 같은 주요 특성에 직접적인 영향을 미치므로 전동기 설계 과정에서 반드시 고려해야 할 중요한 요소이다[3]. 본 논문에서는 분수 슬롯(Fractional Slot)을 가지는 구조를 선정하여 설계를 진행하였다. 이러한 분수 슬롯은 권선 끝단의 길이를 줄여
동손을 감소시켜 효율을 향상시키고 또한, 극/슬롯 조합에 따라 코깅토크를 저감할 수 있어 다양한 응용 분야에 활용된다[4,5].
일반적으로 권선 방식은 단층권과 이층권으로 구분되며, 이층권은 역기전력의 정현화와 효율 측면에서 단층권보다 유리한 특성을 가진다. 그러나 본 논문에서는
소형 전동기 모델의 구조 단순화와 권선 제작 공정의 용이성을 고려하여 단층권을 적용하였다.
권선 설계 기법은 Hanselman을 비롯한 여러 연구자들에 의해 다양하게 연구되어 왔으며, 본 연구에서는 Star of Slots 기법을 사용하여
설계를 진행하였다[6,7].
먼저 극/슬롯 수의 주기성을 식 (3)과 같이 정의하고, 슬롯 수를 주기수로 나누어 식 (4)와 같이 주기당 페이저를 결정한다. 이에 따라 각 슬롯에 해당되는 페이저를 배치하면 Fig. 1(a)와 같이 나타낼 수 있다. 여기서, $\gcd$는 최대공약수, $N_{s}$는 슬롯 수, $p$는 극쌍 수이다.
전기적 1주기를 슬롯 수로 나누어 슬롯 간 전기각을 계산하면 식 (5)와 같이 표현할 수 있으며, 이후 식 (6)에 따라 페이저를 상별로 분리하면 Fig. 1(b)와 같은 페이저 배열을 나타낼 수 있다. 이때, $m$은 전동기 상 수를 의미한다.
마지막으로 각 상에 해당하는 페이저를 그룹화시키면 Fig. 1(c)와 같이 나타낼 수 있다.
Fig. 1. Star of slots of 12slot-10pole single layer (a) Phasor per slot (b) Phase
separation (c) Phasor grouping
페이저의 벡터 관계를 통해 식 (7)과 같이 분포계수와 피치계수의 곱으로 권선계수를 계산할 수 있으며, 권선계수 계산 시 스큐계수도 고려해야 하지만, 본 모델은 스큐를 적용하지 않았으므로
생략하였다. 여기서, $v$는 고조파 차수, $q$는 매극 매상당 슬롯 수를 의미한다.
Table 1. Winding factor of fractional slot single layer
Ns
Nm
|
6
|
12
|
18
|
24
|
30
|
|
4
|
0.866
|
0.5
|
|
|
|
|
6
|
|
|
0.5
|
|
|
|
8
|
0.866
|
0.866
|
|
0.5
|
|
|
10
|
0.5
|
0.966
|
|
|
0.5
|
|
12
|
|
|
0.866
|
|
|
|
14
|
|
0.966
|
0.902
|
|
|
|
16
|
|
0.866
|
0.945
|
0.866
|
|
|
18
|
|
|
|
|
|
|
20
|
|
0.5
|
0.945
|
0.966
|
0.866
|
|
22
|
|
|
0.902
|
0.958
|
0.874
|
Table 1은 분수 슬롯 단층권의 극/슬롯 조합에 따른 권선계수를 나타낸다. 본 논문에서는 코깅토크를 저감하고, 동시에 단층권 방식을 적용했을 때 높은 권선계수를
확보할 수 있는 10극 12슬롯 조합을 해석 모델로 선정하였다.
2.3. 코일 보빈 삽입형 BLDC 전동기 모델 사양
Fig. 2는 코일 보빈 삽입형 BLDC 전동기 모델을 나타낸다. Fig. 2(a)에서 볼 수 있듯이 코일 보빈은 고정자 치에 삽입되며 보빈에 있는 핀을 통해 결선된다. 일반적으로 고정자 권선의 단락과 같은 사고를 방지하기 위해
절연 작업이 필요하지만, 보빈 삽입 구조는 보빈 자체를 절연체로 사용할 수 있어 절연 작업에 들어가는 비용을 절감할 수 있다.
Table 2와 3은 설계 제원 및 요구 사양을 나타낸다. 본 모델은 6W급 사양을 가지며, 회전자는 구조가 간단하고 고토크 운전에 유리한 표면부착형 영구자석(Surface
mounted Permanent Magnet)을 사용하였다[8].
Fig. 2. Coil bobbin insertion type BLDC motor (a) Structure (b) Analysis model
Table 2. Motor design specification
|
Parameter
|
Value
|
|
Pole and Slot Combination
|
10 / 12
|
|
Stator Outer Diameter[mm]
|
38
|
|
Rotor Outer Diameter[mm]
|
18.4
|
|
Width of Teeth[mm]
|
1.6
|
|
Air gap Length[mm]
|
0.3
|
|
Stack Length[mm]
|
5
|
|
Number of Turns[Turn]
|
145
|
|
Stator Winding
|
Single layer
|
|
Core Material
|
50JN1300
|
|
Magnet Material
|
Br=0.45T
Hc=-358.1kA/m
|
Table 3. Model requirements
|
Parameter
|
Base Model
|
Requirement
|
|
Output Power[W]
|
6.00
|
6.00
|
|
Speed[rpm]
|
3,000
|
3,000
|
|
Input Voltage[V]
|
10.67
|
10.67
|
|
Torque[mNm]
|
19.09
|
19.15이상
|
|
Efficiency[%]
|
49.65
|
50 이상
|
3. 전동기 성능 개선 설계
3.1. 고정자 치 끝단 구조 선정
Fig. 3은 치 끝단 모양에 따른 고정자 형상을 나타내었다. 영구자석에서 나오는 자속은 공극을 지나 고정자 치 끝단으로부터 들어와 고정자로 이동하게 된다.
이때 고정자 슈가 없는 모델의 경우 치 끝단의 모양에 따라 자속 확보량이 달라지므로 이를 고려해 줄 필요가 있다. 해석 모델은 공극 길이를 0.3mm로
고정한 상태에서 끝단 모양을 변경시켜 유한요소해석을 수행하여 특성을 분석하였다.
Fig. 3. Stator tooth tip shape (a) Arc (b) Round (c) Ellipse (d) Flat
Fig. 4. Back-EMF waveform according to stator tooth tip shape
Fig. 5. THD of Back-EMF according to stator tooth tip shape
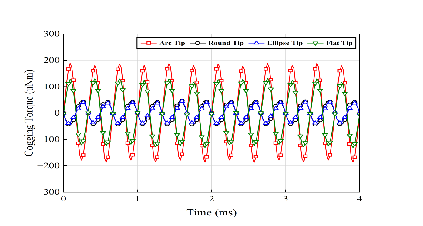
Fig. 6. Cogging torque waveform according to stator tooth tip shape
Table 4. Comparison of characteristics according to stator tooth tip shape
|
Parameter
|
Tip Shape
|
|
Arc
|
Round
|
Ellipse
|
Flat
|
|
Back-EMF[V]
|
1.91
|
1.69
|
1.76
|
1.89
|
|
Cogging Torque[mNm]
|
0.38
|
0.09
|
0.08
|
0.26
|
|
Back-EMF THD[%]
|
4.67
|
6.64
|
5.52
|
4.75
|
|
Input Current [A]
|
1.11
|
1.21
|
1.20
|
1.12
|
|
Torque[mNm]
|
19.09
|
18.90
|
18.98
|
19.09
|
|
Output Power[W]
|
6.00
|
5.94
|
5.96
|
6.00
|
|
Efficiency[%]
|
50.02
|
44.73
|
46.35
|
49.65
|
Fig. 4, 5, 6은 고정자 끝단 모양에 따른 무부하 해석 시 역기전력과 코깅토크 파형을 보여주고 Table 4에서 이들의 특성 결과를 나타내었다. 해석 결과 Arc 구조의 경우 고정자 모서리 끝단 길이가 회전자와 가까워 쇄교하는 자속량이 증가하여 역기전력과
코깅토크가 크게 나온 것을 확인하였다. 효율은 50.02%로 역기전력이 가장 큰 Arc 구조가 인가 전류가 가장 낮게 들어감으로 가장 크게 나오는
것을 알 수 있다. 따라서 효율 개선을 위해 끝단 구조를 Arc 구조를 선정하였다.
3.2. 고정자 비대칭 공극 구조 설계
토크는 식 (10)과 같이 회전자 표면에서의 접선 방향 힘 $F_{t}$와 회전자 반경 $r$의 곱으로 정의되며, 접선 방향 힘은 고정자와 회전자에서 형성되는 자속과의
상호작용으로부터 발생하므로 식 (11)과 같이 표현된다[9]. Fig. 7은 대칭 및 비대칭 공극 구조에서의 자속 경로를 나타내며, Fig. 7(a)와 같은 대칭 구조에서는 자속 분포가 균일하여 접선 방향 힘이 일정하게 작용한다. 반면, Fig. 7(b)와 같이 양쪽 치 끝단의 길이를 서로 다르게 한 비대칭 공극 구조에서는 힘의 작용점이 한쪽으로 편중되어 접선 방향 힘이 특정 방향에 집중된다.
이러한 현상은 결과적으로 특정 회전 방향에서 토크 특성이 유리하게 나타나는 원인이 된다. 따라서 본 연구에서는 비대칭 공극 구조가 적용된 전동기가
구조적 특성상 단방향 회전만 가능한 것으로 가정하고, 회전 방향은 반시계 방향(CCW)으로 설정한다.
Fig. 7. Flux path variation (a) Base model (b) Asymmetric air-gap model
4. 최적화 설계
4.1. 반응표면분석법을 이용한 최적 모델 설계
전동기의 성능 개선을 위해 설계 변수 기반으로 반응표면분석법을 적용하여 최적 설계를 진행하였다. Fig. 8은 비대칭 공극 구조의 설계 인자를 나타내며, 양쪽 모서리 공극 길이를 Gap A와 Gap B로 구분하였다. 회전 방향이 반시계인 경우를 고려했을
때, Gap A에 더 큰 힘이 작용하므로 Gap A는 0.2-0.3mm, Gap B는 0.2-0.4mm의 범위로 두었다.
Fig. 8. Asymmetric air-gap structure design parameter
Fig. 9는 반응표면분석법을 통해 도출한 등고선도이다. 분석 결과, 토크와 출력은 Gap A가 줄어들고 Gap B가 늘어날수록 상승하였으며, 효율은 Gap
A와 Gap B가 동시에 줄어들 때 높게 나오는 경향이 나타났다. 이는 공극이 넓어질수록 쇄교 자속이 감소하여 인가 전류가 증가하면서 토크 및 출력이
향상된다. 반대로 공극이 좁아지면 쇄교 자속이 증가하여 인가 전류의 감소로 효율이 향상되는 것으로 해석된다. 따라서 평균 공극 길이에 따른 쇄교 자속의
변화가 성능에 직접적인 영향을 주는 것을 확인할 수 있다.
Fig. 9. Contour plot (a) Torque (b) Output power (c) Efficiency
4.2. 최적화 모델 특성 결과
Fig. 10은 반응표면분석법 결과를 기반으로 도출한 최적화 모델을 나타내며, Fig. 11과 Table 5는 최적화 모델과 기본 모델을 유한요소 해석으로 비교한 결과를 제시한다. 해석 결과, 최적화 모델은 설계 목표치를 만족하였고, 토크는 0.37%,
효율은 1.61% 증가하여 성능이 개선됨을 확인하였다. 그리고 평균 공극 길이가 가장 작은 모델보다 최적화 모델의 토크 특성이 약 0.31% 높게
나왔으며, 이는 비대칭 공극 구조의 적용에 따른 추가적인 힘이 확보된 결과로 해석된다.
Fig. 10. Optimal model using response surface methodology
Fig. 11. Comparison of the base model and optimal model (a) Torque (b) Efficiency
Table 5. Comparison results between the base model and optimal model
|
Parameter
|
Base Model
|
Optimal Model
|
|
Gap A[mm]
|
0.3
|
0.2
|
|
Gap B[mm]
|
0.3
|
0.29
|
|
Average Air gap[mm]
|
0.3
|
0.24
|
|
Output Power[W]
|
6.00
|
6.02
|
|
Speed[rpm]
|
3,000
|
3,000
|
|
Input Current[A]
|
1.11
|
1.07
|
|
Torque[mNm]
|
19.09
|
19.16
|
|
Efficiency[%]
|
50.02
|
51.63
|
5. 결 론
본 논문에서는 소형 전동기의 권선 공정성을 향상시키기 위해 고정자 슈를 제거하여 외부에서 감긴 코일 보빈을 삽입할 수 있는 BLDC 전동기를 제안하였다.
하지만 고정자 슈 제거로 인해 자속 확보가 어려워 성능저하가 발생하며, 이를 보완하기 위해 고정자 치 끝단 구조와 고정자 비대칭 공극 구조를 설계
변수로 선정하여 유한요소해석을 통해 각 설계 변수의 특성을 분석하였다. 또한 반응표면분석법을 사용하여 최적화 모델을 도출하고 기본 모델과 비교한 결과
토크는 약 0.37%, 효율은 약 1.61% 향상되어 성능이 개선됨을 확인하였다. 다만 본 모델의 경우 비대칭 공극 구조 적용에 따라 소음과 진동의
원인이 되는 코깅토크가 증가할 수 있는 문제가 생길 수 있다. 따라서 추후에는 이러한 문제를 해결하기 위한 방안을 찾고자 한다.
Acknowledgements
이 논문은 정부(과학기술정보통신부)의 재원으로 정보통신기획평가원-지역지능화혁신인재양성사업의 지원을 받아 수행된 연구임(IITP-2025-RS-2024-00436773).
References
Zeraoulia M., Benbouzid M. E. H., Diallo D., 2006, Electric motor drive selection
issues for HEV propulsion systems: A comparative study, IEEE Trans. Veh. Technol.,
Vol. 55, No. 6, pp. 1756-1764

Bianchi N., Bolognani S., 2002, Design techniques for reducing the cogging torque
in surface-mounted pm motors, IEEE Trans. Industry Applicat., Vol. 38, No. 5, pp.
1259-1265

Lee S. H., Cho H. W., 2015, Characteristic analysis on the permanent magnet synchronous
motor with segmented phase modular stator, The Transactions of the Korean Institute
of Electrical Engineers, Vol. 64, No. 12, pp. 1686-1694

Kim T. H., 2018, The analysis of iron losses in a 12-slot 10-pole fractional-slot
permanent magnet synchronous motor with various stator winding methods, Journal of
the Korean Magnetics Society, Vol. 28, No. 1, pp. 10-16

Park Y. J., 2022, Characteristics analysis study of surface mounted permanent magnet
synchronous motor according to pole slot combination, The Transactions of the Korean
Institute of Electrical Engineers, Vol. 71, No. 2, pp. 351-358

Hanselman D., 2003, Brushless permanent magnet motor design, pp. 125-150, The Writers’
Collective

Bianchi N., Pré M. Dai, 2006, Use of the star of slots in designing fractional-slot
single-layer synchronous motors, IEE Proceedings-Electric Power Applications, Vol.
153, No. 3, pp. 459-466

Kim C. K., Lee S. G., Jung S. Y., 2009, Design of cogging torque and torque ripples
reduction for high precision controlled spmsm, The Transactions of Korean Institute
of Electrical Engineers, Vol. 58, No. 10, pp. 1923-1929

Jung T. U., Nam N. N., 2022, A high-efficiency driving method of bldc motor based
on modified trapezoidal method, Journal of Electrical Engineering and Technology,
Vol. 17, No. 6, pp. 3457-3464

Biography
He received his B.S. degree from the School of Electrical Engineering, Kyungnam University,
Changwon, Korea, in 2024. He is pursuing an M.S. degree in mechatronics engineering
and is interested in energy conversion machines and actuators.
He received his B.S., M.S. and Ph.D. degrees in Electrical Engineering from Pusan
National University, Busan, Korea, in 1993, 1995 and 1999, respectively. Between 1996
and 2005, he was a chief Research Engineer with the Laboratory of LG Electronics,
Korea. Between 2006 and 2007, he was a Senior Research Engineer at the Korea Institute
of Industrial Technology, Korea. Since 2007, he has been a Professor at Kyungnam University,
Changwon, Korea.