최은혁
(Eun-Hyeok Choi†)
†iD
Copyright © 2025 KIIEE All right's reserved
Key words
Fault preventive diagnosis, Insulation diagnostic sensor, Partial discharge (PD)
1. 서 론
송전급에서 고장예방진단을 위하여 부분방전 검출기법을 적용하고 있다. 하지만 변전급에 실제 적용하고 있는 부분방전 검출기법은 연구중에 있으며 현장에
적용이 가능한 신뢰성 있는 센서는 연구 중에 있다[1,2]. 특히 배전급 전력설비에서 가장 흔하게 사용되는 주상변압기에 적용한 부분방전 검출기법에 대한 연구 보고는 거의 없다. 현재 우리나라에서 적용되는
배전급 전력설비 고장결함 검출은 자외선 카메라 방식, 절연유의 온도 측정방식, 유전정접과 FFT 방식, 초음파 방식, 데이터마이닝 방식이 신뢰성을
위하여 혼용되고 있다. 그리고 주상변압기에 대한 예방진단 측정 기법은 초음파, 열화상, 무선감시부하 방식이 채택 활용되고 있으나, 이 또한 부분방전을
이용한 전자파 검출형태가 아니다. 현재 주상변압기에 대한 고장검출 진단기법은 인간의 주관적인 판단으로 진단되고 있다. 특히 날씨, 온도와 같은 주변
환경의 영향에 따라 진단 결과가 상이하게 나타나 명확한 고장검출과 판단이 불가능하다[3].
위와 같이 배전급 대표적인 전력기기인 주상변압기의 고장결함을 효과적으로 검출하기 위하여 부분방전을 이용한 방사전자파 검출방식의 적용이 필요하다. 주상변압기
내부 고장에 의한 부분방전 검출하기 위해 필요한 조건은 부분방전에 따른 방사되는 전자파의 특정 주파수 대역에 대한 구체적인 DB 구축과 방사전자파
측정시 최소 10m 정도의 거리에서 측정 가능한 고감도 진단센서가 요구된다[4]. 현재 송전계통 전력설비인 GIS와 전력용 변압기에서 동일한 결함일 경우 방사되는 전자파의 주파수 대역은 UHF 대역인 것으로 보고되었다[5]. 하지만 기존의 GIS와 전력용 변압기에서 적용되고 있는 진단센서는 배전급 주상변압기만 보아도 결함의 종류, 내·외부구조, 용량별 크기, 방사전자파
방출 지점, 동작환경 및 설치위치가 GIS와 전력용 변압기의 결함에 따른 방사전자파 영역이 다르다. 주상변압기 내부 부분방전으로 인하여 방사되는 전자파의
주파수 대역은 주상변압기나 모델링한 모의챔버에서 실험한 내용과 주상변압기를 활용하여 실험실에서 특정조건에서 결함을 모의하여 방사되는 부분방전을 측정한
논문이[6] 발표되었다.
본 논문에서는 기존의 원추형 진단센서[7,8]를 기반으로하여 부분방전에 의한 방사전자파를 검출하는 고감도 고장진단 원추형 다이폴 센서를 설계, 시뮬레이션하여 제시하고자 한다. 연구결과를 기반으로
향후 배전급 전력기기의 내부결함으로 인한 정전예방, 전력공급과 배전계통운전의 신뢰성을 확보하고자 한다.
2. 진단센서의 설계 및 반사손실 특성
Fig. 1은 본 논문에서 부분방전시 방사전자파를 측정할 수 있는 원추형 다이폴 광대역 센서을 설계한 구조를 나타내고 있다.
Fig. 1. Structure and coordinate system of a broadband conical dipole sensor
설계 제시된 센서는 $h$=140mm 로 2개의 원추형태가 상하로 접속된 구조인 센서이다. 센서는 완전도체(PEC)이며, 파리미터는 반지름 $a$,
급전부 $b$, 센서의 높이 부분은 원추의 상부/하부 $h_1$, 상하부원추높이 $h_2$, 상하부 원추 연결 높이 $h_3$로 이루져 있다. 각각의
파라미터의 크기는 $a$=60mm, $b$=2mm, $h_1$=10mm, $h_2$=59mm 및 $h_3$=2mm 이다. 하부의 원추를 관통 상부의
원추에 급전하는 구조을 가지고 있다.
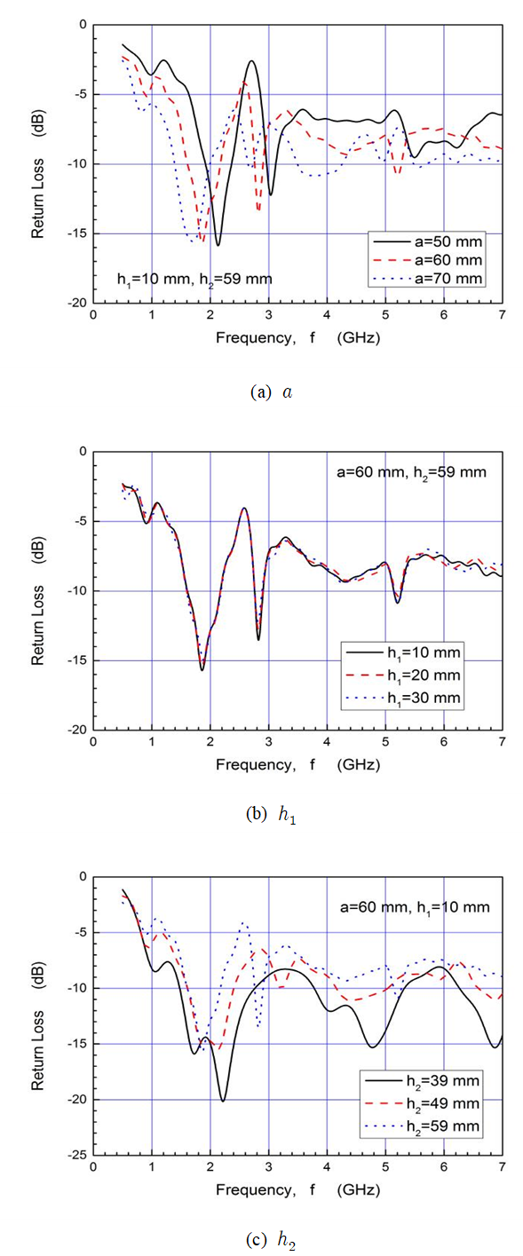
Fig. 2는 제안된 센서의 치수를 파라미터하여 센서의 반사손실의 주파수 특성을 보여주고 있다.
Fig. 2. Effect of dimension parameters on reflection loss
Fig. 2(a)는 센서의 변의 길이 $a$ 파라미터 변화시 반사손실의 주파수 특성을 보여주고 있으며, 변의 길이 $a$를 변화시 반사손실 특성의 변화가 없는 것으로
확인되었다.
Fig. 2(b)는 센서의 높이 $h_1$ 파라미터 변화시 반사손실 주파수 특성을 나타낸다. 높이 $h_1$이 작아지면 광대역 영역에서 안정된 특성을 확인하였다.
Fig. 2(c)는 센서의 높이 $h_2$ 파라미터로 변화시 반사손실 주파수 특성을 나타낸다. 그림과 같이 높이 $h_2$증가하면 광대역에서 안정된 특성을 확인하였다.
Fig. 1에서 제시된 센서 구조에서 파라미터 변화에 의한 반사손실 주파수 특성을 보면 평균적으로–0.3dB정도로 최대–0.75dB 정도까지 반사손실이 변화함을
알수 있다. 이러한 반사손실 값은 센서설계에 있어 신뢰도의 기준인–10dB에 못 미치는 반사손실로 Fig. 1에 제시된 센서의 반사손실 특성을 향상을 위하여 4-포스트 구조를 적용한 Fig. 3 구조 개선하였다.
Fig. 3. Structure and coordinate system of a broadband conical dipole sensor
Fig. 3은 논문에서 제시된 원추형센서에서 반사손실 특성을 개선을 위하여 4-포스트 개선한 구조를 나타낸다. 포스트를 추가함에 따라 개선되는 대표적인 특성은
임피던스 매칭 개선을 통하여 유효 인덕턴스 및 커패시턴스를 조절하여 임피던스를 안정화 시켜 결과적으로 넓은 주파수 대역에서 저반사의 특성을 유지 할
수 있다. 또한 포스트는 전기적 길이를 확장 및 다중 공진모드를 생성하여 광대역특성을 확보하는 데 도움을 주는 구조이다. 전기적 길이의 확장됨은 전류
센서의 표면전류의 급격한 불연속, 급변을 완화하여 안정화된 방사패턴이 나타는 효과도 있다. 방사체의 높이 $h$=140mm, 2개의 원추가 상하로
접속된 구조로 센서는 완전도체 (PEC)로 되어 있다. 파라미터는 반지름 $a$=60mm, 상하부원출 급전부 $b$=2mm, 각각 원추높이 $h_1$=10mm,
상하부원추 $h_2$=59mm 및 상하부원추 급전부 높이 $h_3$=2mm이다. 상하부 원추에 직경이 $p$=2mm인 4개 포스트가 접속되며, 급전구조는
하부 원추를 관통하여 상부 원추로 이어지는 형태이다.
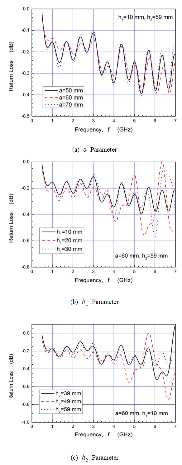
Fig. 4. Effect of dimension parameters on reflection loss
Fig. 4는 센서 치수를 파라미터로 하여 원추형 다이폴 광대역 센서(4-포스트) 반사손실의 주파수 특성을 보여주고 있다.
Fig. 4(a)는 원추형 다이폴 광대역 센서(4-포스트)의 변 길이 $a$를 파라미터인 경우 반사손실의 주파수 특성을 나타낸다. 그림과 같이 변의 길이 $a$는
증가 할수록 광대역에서 안정된 특성을 나타낸다. 특히 70mm의 경우 약 0.5GHz 이상의 대역에서 결함측정이 가능한 반사손실–5dB이하의 주파수특성을
확인하였으며, 특히 1.6∼2.0, 3.4∼4.2GHz 대역에서 반사손실 –10dB이하의 주파수대역을 파라미터를 변화함에 따라 조정이 가능하여 전력설비의
특성결함에 의한 특정 대역대의 부분방전 방사전자파를 측정할 수 있음을 확인하였다.
Fig. 4(b)는 원추형 다이폴 광대역 4-포스트 센서의 높이 $h_1$을 파라미터로 하여 반사손실의 주파수 특성을 확인한 반사손실 특성이다. 그림과 같이 높이
$h_1$을 변화에 따른 반사손실 특성 변화는 크지 않는 것으로 확인하였다.
Fig. 4(c)는 원추형 다이폴 광대역 4-포스트 센서의 높이 $h_2$을 파라미터로 하여 반사손실의 주파수 특성을 확인하였다. 그림과 같이 높이 $h_2$와 반사손실
특성은 반비례하는 것으로 확인하였다. 특히 Fig. 4(a)보다 1.2∼2.7, 3.8∼5.4GHz의 넓은 주파수 영역에서 반사손실–10dB 특성을 보여주고 있으며, Fig. 4에 제시된 센서의 구조에서 전력설비의 결함에 따른 특정 대역대의 부분방전 방사전자파를 측정시 파리미터 변의 길이 $a$와 높이 $h_2$을 변화시
예방진단을 위한 신뢰성이 있는 센서로 활용 가능할 것으로 판단된다.
3. 결 론
본 연구에서는 원추형센서을 활용하여 원추형 다이폴 광대역 센서을 설계, 반사손실 특성을 시뮬레이션을 통하여 확인하였다. 이를 통하여 배전급 전력설비의
결함에 따른 방사전자파 측정용 센서를 제시하였다. 특히 제시된 원추형 다이폴 광대역 4-포스트 센서는 파라미터을 조정함에 따라 배전급 전력설비의 예방진단용
센서로 활용될 수 있을 확인하여다. 향후 본 논문에서 제시된 배전급 절연진단센서를 활용하여 배전급에서 안정된 전력공급과 배전계통운전의 신뢰성을 확보할
수 있을 것으로 기대된다.
References
Okabe S., 2007, Phenomena and mechanism of electric charges on spacers in gas insulated
switchgears, IEEE Trans. Dielectr. Electr. Insul., Vol. 14, No. 1, pp. 46-52

Okubo H., Beroual A., 2011, Recent trend and future perspectives in electrical insulation
techniques in relation to sulfur hexafluoride (SF6) substitutes for high voltage electric
power equipment, IEEE Electr. Insul. Mag., Vol. 27, No. 2, pp. 34-42

Krause C., 2012, Power transformer insulation - History, technology and design, IEEE
Trans. Dielectr. Electr. Insul., Vol. 19, No. 6, pp. 1941-1947

Okubo H., Beroual A., 2011, Recent trend and future perspectives in electrical insulation
techniques in relation to sulfur hexafluoride (SF6) substitutes for high voltage electric
power equipment, IEEE Electrical Insulation Magazine, Vol. 27, No. 2, pp. 34-42

Kim K. C., Lee K. S., Lee D. I., 2000, Estimation of ESD current waveshapes by radiated
electromagnetic fields, IEICE Trans. Commun., Vol. E83-B, No. 3, pp. 608-612

Hur Jae-Won, Choi Eun-Hyeok, 2021, A study on electrical insulation breakdown characteristics
of solid insulators, KIIEE, Vol. 35, No. 11, pp. 39-43

Choi Eun-Hyeok, 2021, UHF high-sensitivity diagnostic sensor design for eco-friendly
insulating gas, KIIEE, Vol. 36, No. 2, pp. 22-27

Choi Eun-Hyeok, 2024, Design of UHF sensor for partial discharge detection, KIIEE,
Vol. 38, No. 6, pp. 512-515

Biography
He received B.S. degree in electrical engineering from Kyungil University in 2003.
He received the M.S. and Ph.D. degree in electrical engineering from Yeungnam University
in 2005 and 2009. He has been an Assistant Professor in the Department of Smart Power
Infrastructure, Kyungil University. His research interests are high voltage discharge,
insulation diagnosis sensor and power system analysis.